Сначала ответим на фундаментальную часть задачи, определив искомые соотношения сил. Заряженную наночастицу можно считать точечным зарядом, поскольку ее характерные размеры (10 нм) много меньше размеров всех остальных объектов, рассмотренных в задаче.
Определим сначала силу взаимодействия заряженной частицы с проводящей поверхностью. Здесь удобно воспользоваться методом электростатических изображений. Подробно описание этого метода можно найти, как в учебниках, так и в сети.
Для случая однородной поверхности получим значение для силы (эквивалентно силе взаимодействия двух одинаковых по модулю точечных зарядов, расположенных на расстоянии
Для случая зонда ситуация немного сложнее. Вблизи заряженной наночастицы металлический зонд поляризуется, при этом, поскольку, частица находится в непосредственной близи от закругления металлического зонда, последний можно аппроксимировать сферой. В итоге сведем задачу к определению силы взаимодействия между точечным зарядом и проводящим шаром. Эту задачу опять же можно свести к взаимодействию двух точечных зарядов. Получим: (2), где эффективный заряд: (3), а эффективное расстояние: (4).
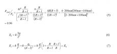
Теперь найдем искомое отношение сил (2)/(1): (5)
Оказалось, что сила в случае зонда окажется меньше, чем в случае однородной металлической поверхности.
Однако, не все так плохо. Посчитаем теперь отношение напряженностей электрического поля вблизи рассмотренных металлических поверхностей. Максимальные значения напряженностей поля для поверхности и для зонда: (6), (7)
Чем же тогда может оказаться полезным такой нанозонд? Оказывается, что будучи помещенным во внешнее электрическое поле, острие зонда локально усиливает электрическое поле. В этом нетрудно убедиться, опять же воспользовавшись методом электростатических изображений.
Подобные проводящие зонды применяются на практике при изучении микро и нанообъектов, поскольку позволяют концентрировать электромагнитное поле и локально его усиливать. К примеру, так добиваются усиления различных оптических эффектов, таких как генерация гармоник и гигантское комбинационное рассеяние света.

