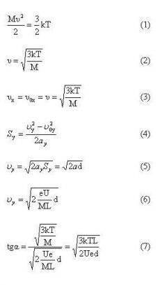
Введём систему координат xOy так, как показано на рисунке. Угол α можно найти из равенства tg(a)=vx/vy, где vx и vy – проекции скорости иона на координатные оси в момент попадания на подложку. Очевидно, что если модуль начальной скорости задан, то на максимальный угол α от вертикального направления отклонятся ионы, начальная скорость которых направлена горизонтально. Поэтому будем рассматривать именно такие ионы. Начальная скорость ионов равна (для оценки) среднеквадратичной скорости их движения, которую можно выразить из уравнения (1), где M – масса иона, T – температура в кельвинах. Имеем: (2)
Для горизонтальной проекции скорости иона в момент попадания в подложку имеем: (3). Нолик и индексе означает, что это величина в начальный момент времени. Горизонтальная проекция скорости не меняется со временем.
Вертикальную проекцию скорости найдём из кинематической формулы (4), где Sy – проекция перемещения на вертикальную ось, ay – проекция ускорения.
Имеем: vy=(5) . Осталось найти ускорение a. Применяем второй закон Ньютона и связываем силу с напряжённостью электростатического поля: a=F/M=eE/M, где e – заряд электрона, E – напряжённость электростатического поля. Применяем соотношение U = EL. Получаем: a=eU/ML. Для вертикальной проекции скорости имеем: (6).
tg(a) = 0,44
откуда угол равен α ≈ 24°.
Из формулы (7) видно, что уменьшения угла можно добиться:
- уменьшением температуры установки (охлаждением),
- уменьшением расстояния между электронами,
- увеличением напряжения,
- увеличением толщины маски.


